n角数について

n角数とは、3角数,4角数,5角数などの総称である。

以下にその具体例をあげる。


3角数

3角数とは図のように段々大きくなる3角形の頂点と辺に置かれた点の数である。

図は5段の3角数を表し、点の数は15である。

したがって、3角数は 1,3,6,10,15,21,28,36,45,55,66,78,91,…

という数列をなす。

その一般項は、である。


4角数

4角数とは図のように段々大きくなる4角形の頂点と辺に置かれた点の数である。

図は5段の4角数を表し、点の数は25である。

したがって、5角数は 1,4,9,16,25,36,49,64,81,100,121,144,169,…

という数列をなす。

その一般項は、である。






5角数

5角数とは図のように段々大きくなる5角形の頂点と辺に置かれた点の数である。

図は5段の5角数を表し、点の数は25である。

したがって、5角数は 1,5,12,22,35,51,70,92,117,145,176,210,247,…

という数列をなす。

その一般項は、である。


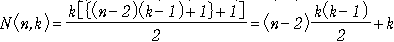
したがって、一般のn角数は、である。